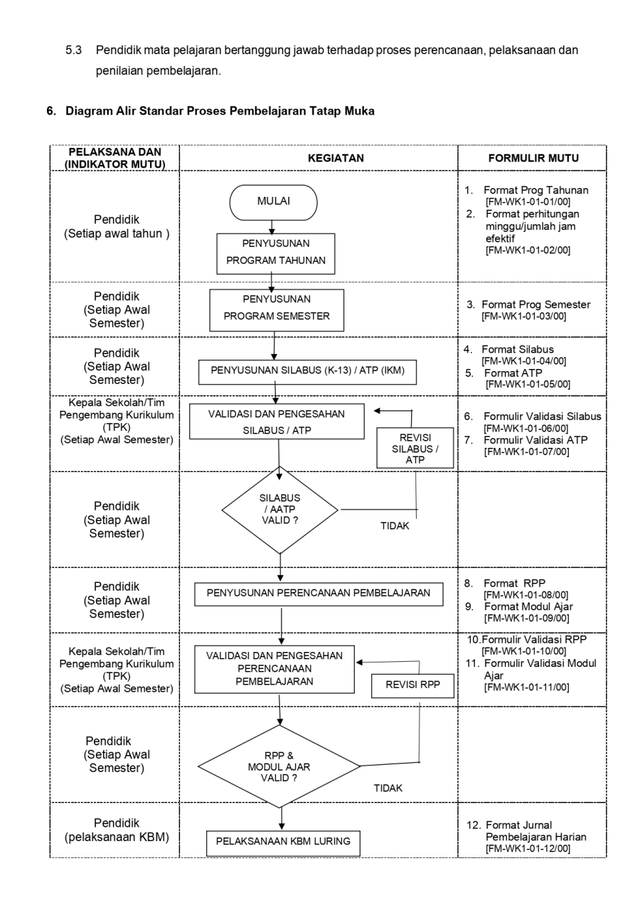
PROSEDUR MUTU - PROSES PEMBELAJARAN TAHUN PELAJARAN 2023/2024 Admin SMAN6MLG 16 Oktober 20230 Comments2133 Pembaca Bagikan : Previous postNext post KomentarSearchCategoryBeasiswa ADEM3Info Beasiswa1Informasi16Karir0Kegiatan Peserta Didik2Kewirausahaan2Pengalaman siswa2Pengumuman0Prestasi1Program Sekolah0Sains dan Teknologi0Tips Belajar1Blog Terbaru 19 Mei 2025SELAMAT ULANG TAHUN IBU KHOFIFAH INDAR PARAWANSA 25 Maret 2025PRESTASI PESERTA DIDIK SMA NEGERI 6 KOTA MALANG LOLOS J.. 19 Maret 2025INFORMASI SPMB 2025 13 Maret 2025PESANTREN RAMADHAN SMA NEGERI 6 KOTA MALANG 05 Februari 2025PAMERAN KOLABORASI SENI BUDAYA DAN PKWUPopulerPENGALAMANKU SEBAGAI KETUA OSIS 2022/2023 SMA NEGERI 6 .. 23 November 2023SELAMAT ULANG TAHUN IBU KHOFIFAH INDAR PARAWANSA 19 Mei 2025HEROES #3 PUNCAK ACARA HUT SMA NEGERI 6 MALANG 26 Agustus 2024MEMAKNAI PERINGATAN HARI KARTINI 2024 22 April 2024KELAS BAHASA JEPANG : PRAKTIK MEMASAK MAKANAN JEPANG 02 Februari 2024DownloadPanduan sistem 177.49 KB 22585 DownloadTagsprogram#SMARIHEKSATipsrepatriasi#JAWATIMURppdb#sains#SMARIHEKSA #SMANEGERI6MALANG #SSD11 #SMARIHEKSASABADESA #PA